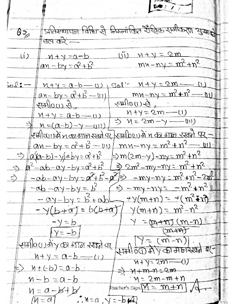
KC Sinha Mathematics Solution Class 10 Chapter 3 दो चर वाले रैखिक समीकरण ( Pair of linear Equation in Two Variables ) Exercise 3.2
Exercise 3.2
Question 1
2 comments:
Mohammed Sanjib
August 4, 2020 at 12:45 PM
Md masood 854311
Reply
Delete
Replies
Reply
Ramraj Singh
February 21, 2021 at 5:19 AM
9955262931
Reply
Delete
Replies
Reply
Add comment
Load more...
Home
Contact Form
Name
Email
*
Message
*
Md masood 854311
ReplyDelete9955262931
ReplyDelete